Realizando Metas (RM), agrupación política que llevó a José Raúl Mulino a la presidencia de la República, es el partido político de Panamá que más dinero recibirá en concepto de financiamiento público poselectoral para el quinquenio 2024-2029.
De acuerdo con información del Tribunal Electoral (TE), el colectivo que fundó el expresidente Ricardo Martinelli recibirá $8,046,082.28. Le sigue el Partido Revolucionario Democrático (PRD), que tendrá a su disposición $6,484,756.61. Mientras que el Movimiento Otro Camino (MOCA) es la tercera agrupación que recibirá más fondos: $5,299,546.84.

En tanto, el Partido Panameñista, Cambio Democrático (CD) y el Partido Popular (PP) manejarán una cifra similar. El Panameñista contará con $4,861,230.44, CD con $4,744,051.81 y el PP con $4,734,280.15.
Alianza, en tanto, recibirá $2,580,024.65. Mientras que el Movimiento Liberal Republicano Nacionalista (Molirena) tendrá $2,257,517.46.
En total, entre los ocho partidos políticos y los independientes, se distribuirán $54,510,906.71.

La información está contenida en el Boletín Electoral 5675 D, publicado recientemente.
Los independientes
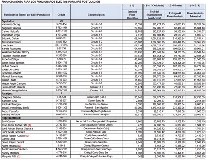
Tres de los 20 diputados que resultaron electos el pasado 5 de mayo a través de la libre postulación recibirán $1 millón. Se trata de los diputados del circuito 8-2 (San Miguelito): Eduardo Gaitán $1,054,828.18, Alexandra Brenes $1,007,385.75 y Luis Duke $1,026,279.17.
Mientras que Irma Hernández, alcaldesa de San Miguelito, que llegó al cargo por la vía independiente, tiene derecho a $1,377,161.30 en concepto de subsidio electoral.

¿En qué se puede gastar?
Según el artículo 214 del Código Electoral, el financiamiento público poselectoral será destinado a contribuir con los gastos de funcionamiento y capacitación de los partidos políticos y autoridades.
Así se calcula
El artículo 216 de la Ley electoral dispone que la cifra se distribuye de la siguiente manera:
El monto a distribuir es el 50% del monto del financiamiento público asignado a las elecciones más los saldos no utilizados del preelectoral.
De ese monto se deducirá un 20% en concepto de reparto igualitario entre los partidos políticos que hayan subsistido.
El 80% restante se distribuirá con base en los votos obtenidos por los partidos políticos y los funcionarios electos por libre postulación.
Los partidos políticos recibirán su aporte con base en votos, utilizando el promedio de votos obtenidos en las cuatro elecciones (presidente, diputado, alcalde y representante de corregimiento), y los funcionarios electos por libre postulación recibirán con base en los votos obtenidos, independientemente del tipo de elección.
Se sumarán los promedios de los votos de los partidos con los votos de los funcionarios electos por libre postulación. A esta suma se le llamará total de votos válidos para el reparto.
El monto correspondiente al 80% identificado en el numeral 3 se dividirá entre el total de votos válidos para el reparto, para obtener el monto por voto, que se le reconocerá a cada partido y a cada funcionario electo por libre postulación.
Para determinar la cantidad de dinero que le corresponde a cada partido, se multiplicará el monto por voto por el promedio de votos obtenido por cada uno de ellos.
Para determinar la cantidad de dinero que le corresponde a cada funcionario electo por libre postulación, se multiplicará el monto por voto por los votos obtenidos por cada uno de ellos.


